Application Note
Bio-printed 3D liver model and high-content imaging for assessment of compound toxicity effects
- Uniform 3D bioprinting and dispensing with flexible built-in assays and multiple customizable tools
- Long-period monitoring and high-content imaging for 3D cellular models
- cGMP and user-friendly interface for easy building of complex organ-specific models
Prathyushakrishna Macha, Oksana Sirenko | Molecular Devices LLC
Sarah M. Moss, James B. Hoying | Advanced Solutions Life Sciences
Summary
Three-dimensional (3D) cellular models improve the efficacy of non-clinical drug safety predictions. 3D bioprinting enables the generation of complex models with spatial control and a variety of matrices allowing the formation of complex tissue structures. Here we describe a method for the automated generation of 3D cellular liver models using a multi-tool robotic device with liquid handling. This enables the automated bioprinting and high-content imaging of liver cells within a collagen matrix. This assay was used for compound testing and evaluation of toxicity effects in liver cells. As an example, in an assay using bio-printed structures, we used HepG2 cells resuspended in collagen I with micro-structure printed channels allowing better diffusion of media. Using a printing tool and pipettor, the robot printed pluronic acid into wells of a multi-well plate to create the 3D structures needed for channel formation, then dispensed the cell mix with collagen to create a thick 3D cell layer.
Materials
BAB400
The BioAssemblyBot® 400 (BAB400) by Advanced Solutions is a cGMP-certified multitool and multipurpose platform that can be used to build 3D models. We used the BAB400 tissue structure information modeling (TSIM) software to design 3D structures for 3D printing with the ambient tool and Bioapps Maker. We then used these tools to automate a sequence of steps for independent dispensing, maintenance, and imaging of the 3D models.
ImageXpress Micro Confocal system (Imaging)
Transmitted light (TL) and fluorescent images were acquired on the ImageXpress® Micro Confocal HighContent Imaging System (Molecular Devices) using MetaXpress® High-Content Image Acquisition and Analysis Software. For the liver tissue models, Z-stack images were acquired with 4X or 10X objectives using confocal mode. MetaXpress software was used for all analyses.
Printing and cell model preparation
Human liver cancer cell line (HepG2) cells were maintained according to ATCC protocol. The instrument also allowed for media addition, media exchanges, and media collection. We printed Pluronic pillars in a hexagonal arrangement using the ambient 3D print tool. The cells were lifted off the plate surface, spun, and mixed with collagen media (2mg/mL) to obtain 20 million cells/mL after the pluronic pillar arrays were printed and warmed to 37°C for 30mins in an incubator. 50 μL of collagen/cell suspension at 8°C was added to the wells with pillars. Following dispensing of cells/matrix around the pillars, the pillars were removed using temperature-based dissolution and washed 2 times with the pipette tool leaving behind a structured, cell-dense, 3D liver cell construct. The 3D HepG2 models were cultured and monitored daily using imaging in transmitted light. They were later treated with a panel of drugs with known liver toxicity, including chloroquine, pimozide, haloperidol, doxorubicin, taxol, mitomycin, and cisplatin. The treatment was done on day 4 of model formation and imaged on day 6 after 48hrs of compound treatment. For the endpoint measurements, cells were stained with viability dyes and imaged using a confocal imaging system.
Figure 1. BAB400 3D printing and dispensing workflow integrated with Imager for endpoint assays.
Results
Culture of HepG2 cell models
We have successfully used the BAB400 to develop HepG2 cell models in 96 well formats (Figure 2). TSIM software was used to design the array patterns in 96-well plate format. These were then printed and laid with cells mixed in collagen I. These were monitored for 4 days before further drug treatments and imaging.
Drug treatment and imaging
Multiple 96-well plates were observed until day 4 and then treated with multiple drugs for 48h. The cells were then stained for live and dead counts and analyzed to obtain viability data.
Figure 2. TL image of 3D printed pluronic pillar arrays captured using ImageXpress Micro Confocal system (4X) (left–grey panel). Plate representations of uniformly seeded HepG2 cells in collagen I after pluronic pillars were washed (right – green panel). The holes in the dense collagen matrix enabled for better exchange of nutrients and gases. This eventually prevents the cells in the center of the matrix from undergoing necrosis.
Figure 3. HepG2 3D cell model confocal images, 4X single site image (top panel), and their representative live analysis masks generated by MetaXpress software (bottom panel) A) Untreated control, B) Haloperidol (20 μM), C) Rotenone (4 μM). The control wells had more HepG2 cells and lower cell death whereas, the treated cells had more red-stained cells and a lower number of live cells, indicating cell death.
Figure 4. HepG2 3D cell model DAPI images, 10X single site image (top panel), and their representative nuclei count analysis masks generated by MetaXpress software (bottom panel) A) Untreated control, B) Haloperidol (4 μM), C) Rotenone (4 μM). The DAPI mask counted the number of nuclei present in each site and the control (A) had the most nuclei owing to no toxicity.
Drug response and Imaging data
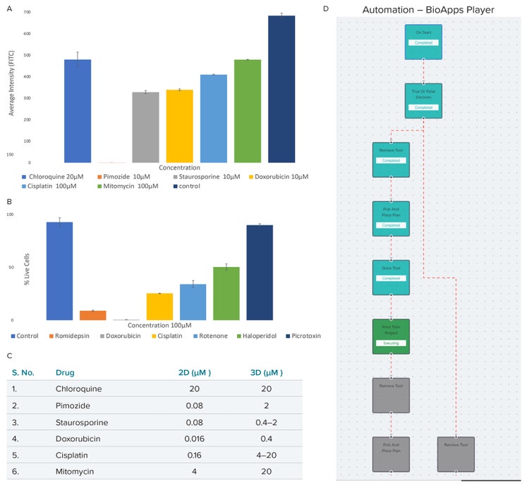
We performed the same drug treatments on 2D HepG2 cultures and compared the difference in dose response with 3D HepG2 cell models. Interestingly, the compound effects appeared at lower concentrations in 2D systems rather than in 3D, demonstrating different compound responses. Models were imaged using confocal, 4X, and 10X. Projection images were analyzed using live-dead analysis. Image analysis using Custom Module Editor (MetaXpress software) can be further used for finding cells, subcellular structures, and treatment response. The whole workflow can be automated using the BAB400 BioApps Player solution. Below, we show a composite image of 3 stains, Calcein AM, Ethidium homodimer – III (EthD), and Hoechst 33342. The images are a representation of all the wells. The control wells have brighter green stains and fewer red stains indicating more live cells and fewer dead cells. The compound effects resulted in increased uptake of EthD, representing cell death phenotype.
Figure 5. HepG2 cell model confocal images, 4X all sites image (top panel), and their representative live dead analysis masks generated by MetaXpress software (bottom panel). A) Untreated control, B) Haloperidol (100 µM), C) Rotenone (100 µM).
Figure 6. The HepG2 cell model projection images were analyzed using live-dead analysis. A) The average intensity of fluorescence against the various drug dose effects (seeding density 7 million cells/mL). B) Live cell percentage of treated cell models against the highest dose of drugs, i.e., 100 μM and cell seeding density of 20 million cells/mL. C) Comparison between the 2D and 3D HepG2 cell models indicating the minimum dosage in μM required for phenotypic response. D) BioApps Player workflow for a basic print workflow which allows for full automation.
Summary
While comparing 2D and 3D HepG2 assays, with the same compound concentrations and same staining, compound effects were detected at lower concentrations in 2D systems than in 3D which demonstrates differences in compound responses between 2D and 3D assay formats.
The limitations of using HepG2 cells for toxicity assessment related to the fact that cells were still proliferating in the culture and, as a result, demonstrated most of the effects with anti-proliferative compounds. Using primary or iPSC-derived liver cells which don’t proliferate will make a more predictive model for the evaluation of toxicity effects in the liver.
Conclusions
- The results show the value of this method for the formation of liver 3D bio-printed models. Also, we developed imaging and data analysis methods and descriptors to gain more information about these complex compound effects in 3D-printed and cell-tissue-engineered cell models.
- Increase in accuracy and throughput can be reached using automation: the process can be fully automated by integrating several instruments to provide automated cell culture, maintenance, and differentiation of 3D cellular models, that can then be used for compound screening in a variety of assays.
- While comparing 2D and 3D HepG2 assays, with the same compound concentrations and same staining, compound effects were detected at lower concentrations in 2D systems than in 3D, which demonstrates differences in compound responses between 2D and 3D assay formats.
- The limitations of using HepG2 cells for toxicity assessment validated the fact that cells were still proliferating in the culture and, as a result, demonstrated most of the effects with anti-proliferative compounds. Using primary or iPSCderived liver cells which don’t proliferate will make a more predictive model for evaluation of toxicity effects in liver.